• Предмет: Алгебра
  • Автор: Lisabilobsam
  • Вопрос задан 7 лет назад


помогите система отдам все баллы

Приложения:

Ответы

Ответ дал: dashulka22222
1

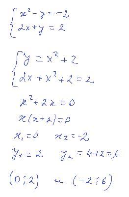
Ответ:

выразить одну переменную через другую

Объяснение:

Приложения:

Lisabilobsam: спасибо большое
Вас заинтересует