• Предмет: Алгебра
  • Автор: Аноним
  • Вопрос задан 7 лет назад

пожалуйста помогите мне​

Приложения:

Аноним: я тоже изучаю алгебру
Аноним: у тебя есть дискорд?
Аноним: нет
Аноним: вернее не я изучаю а мама знает на 5.
Аноним: Жаль. А скачать не можешь?
Аноним: спасибо.

Ответы

Ответ дал: Аноним
1

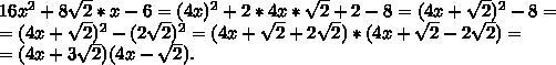
Ответ: Вот на фото. Мне тоже это задали сегодня вот решение.

Объяснение: Вроде всё правильно.

Приложения:
Вас заинтересует