Ответы
Ответ дал:
0
Ответ:
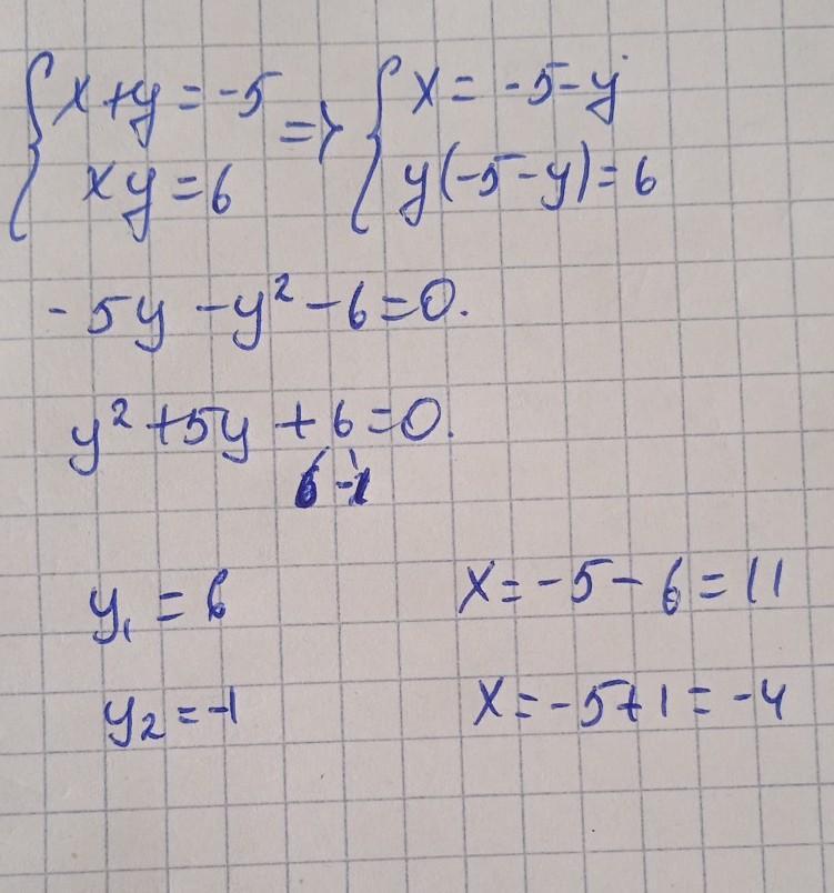
у1=6. у2=-1
х1=-11. у2=-4
Объяснение:
Там х= 6 и -1.
Там -11 а не 11
Приложения:

mnepofig078:
спс
Вас заинтересует
2 года назад
2 года назад
2 года назад
8 лет назад
8 лет назад
9 лет назад