• Предмет: Алгебра
  • Автор: pikatashi
  • Вопрос задан 7 лет назад

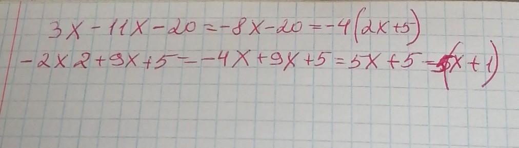
Разложите квадратный трехчлен на множители: а) 3x? - 11х - 20; б) -2х2 + 9x +5.​

Ответы

Ответ дал: Аноним
1

Ответ:

На фото

Объяснение:

На фото

Удачи)))

Приложения:
Ответ дал: ZLOYTIGROVSKIY
1

Ответ:

a)3x - 11x - 20 =  - 8x - 20 =  - 4(2x + 5) \\  \\ b) - 2x {}^{2}  + 9x + 5 =  - 2x \times (x - 5) - (x - 5) =  - (x - 5) \times (2x + 1)


nizamovashlokhon: Там 3х в квадрате в начале
Вас заинтересует