• Предмет: Алгебра
  • Автор: Nic122
  • Вопрос задан 7 лет назад

Выразить I, I1, I2, I3
(Пример на второй картинке)

Приложения:

Ответы

Ответ дал: sangers1959
1

Объяснение:

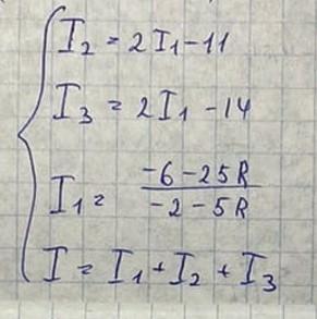
\left\{\begin{array}{cccc}I_2=2I_1-11\\I_3=2I_1-14\\I_1=\frac{-6-25R}{-2-5R}\\I=I_1+I_2+I_3\end{array}\right =\left\{\begin{array}{cccc}I_2=2I_1-11\\I_3=2I_1-14\\I_1=\frac{6+25R}{2+5R}\\I=I_1+I_2+I_3\end{array}\right..\\I_2=\frac{2*(6+25R)}{2+5R} -11=\frac{12+50R-22-55R}{2+5R} =\frac{-10-5R}{2+5R} .\\I_3=\frac{2*(6+25R)}{2+5R} -14=\frac{12+50R-28-70R}{2+5R} =\frac{-16-20R}{2+5R}.\\I=\frac{6+25R-10-5R-16-20R}{2+5R} =\frac{-20}{2+5R}=-\frac{20}{2+5R}.


helpman291818eplz: Доброго времени суток, помогите пожалуйста с заданиями, буду благодарен.
Nic122: Ты немного не то решил. На второй картинке пример это совершенно не то что на первой
Вас заинтересует