• Предмет: Математика
  • Автор: plqowksd
  • Вопрос задан 7 лет назад

помогите пожалуйста.

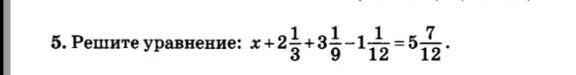
Приложения:

Ответы

Ответ дал: XxXxAnonimxXxX
1

Ответ: x = 1\frac{2}{9}

Объяснение:

x + 2\frac{1}{3} + 3\frac{1}{9} - 1\frac{1}{12} = 5\frac{7}{12}

x + \frac{7}{3} + \frac{28}{9} - \frac{13}{12} = \frac{67}{12}

x = \frac{67}{12} - \frac{7}{3} - \frac{28}{9} + \frac{13}{12}

x = \frac{201}{36} - \frac{84}{36} - \frac{112}{36} + \frac{39}{36}

x = \frac{44}{36} = 1\frac{8}{36} = 1\frac{2}{9}

x = 1\frac{2}{9}

Вас заинтересует