• Предмет: Математика
  • Автор: papinaala16
  • Вопрос задан 7 лет назад

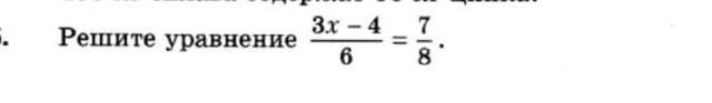
помогите решить уравнение)​

Приложения:

Ответы

Ответ дал: jekadva
1

Ответ:

Пошаговое объяснение:

8*(3x - 4) = 7 * 6

24x - 32 = 42

24x = 42 + 32

24x = 74

x = 74 : 24

x = 3 2/24

x = 3 1/12

Ответ дал: 99tasha
1

8(3х-4)=6*7

24х-32=42

24х=42+32

24х=74

х=74:24

х=74/24=37/12=3 1/12


parus77: проверьте х=74/24=37/12=1 1/12.
99tasha: Извиняюсь, 3 1/12
Вас заинтересует