Укажіть речовини з йонним зв'язком, складіть схеми їх утворення
1 NaBr 2 F² 3 KCl 4 CCl
Варіанти відповіді:
А) 1,3
Б) 2,4
В) 1,2
Г) 3,4
Ответы
Ответ дал:
0
Ответ:
Объяснение:
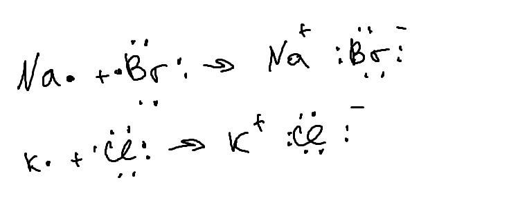
Ионная связь - связь между металлом и неметаллом
NaBr
KCl
А) 1,3
Приложения:

Вас заинтересует
2 года назад
2 года назад
2 года назад
2 года назад
8 лет назад
8 лет назад
9 лет назад