Ответы
Ответ дал:
0
Ответ:
x = -4
Объяснение:
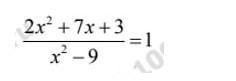
- сначала сокращаем дробь получается
- выписываем
- дальше решение :
всё
mihajlovskaae379:
Правильно✔?
Ответ дал:
2
Решение на фото, удачи вам !
Приложения:

Вас заинтересует
2 года назад
2 года назад
2 года назад
8 лет назад
9 лет назад