Ответы
Ответ дал:
0
Ответ:
6
Объяснение:
Решаем по теореме Фалеса
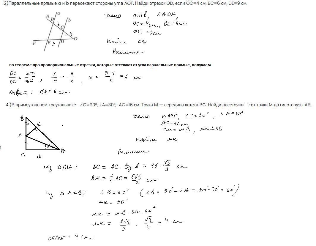
OD/OC=ED/BC
OD/4=3/6
OD=36:6=6
Ответ: 6
Ответ дал:
1
Ответ:
1. теорема про пропорциональные отрезки
2. тангенс и синус острого угла
Объяснение:
Приложения:

Вас заинтересует
2 года назад
2 года назад
8 лет назад
8 лет назад
9 лет назад