• Предмет: Математика
  • Автор: danilusupoy
  • Вопрос задан 7 лет назад

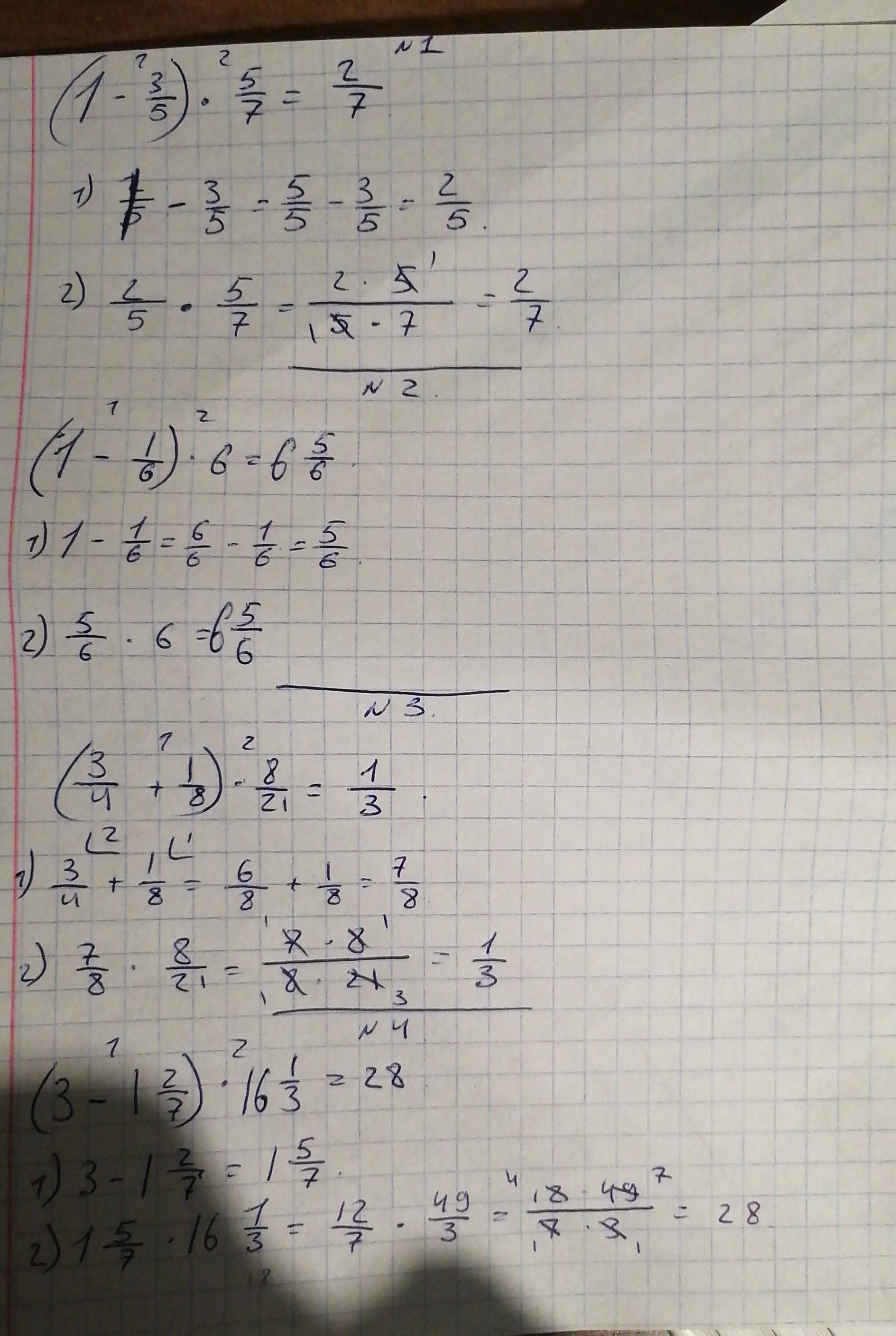
Пжжжжжжжжжж сделайте ​

Приложения:

Ответы

Ответ дал: sofa7468gmailcom
1

Ответ:

на фото......................

Приложения:
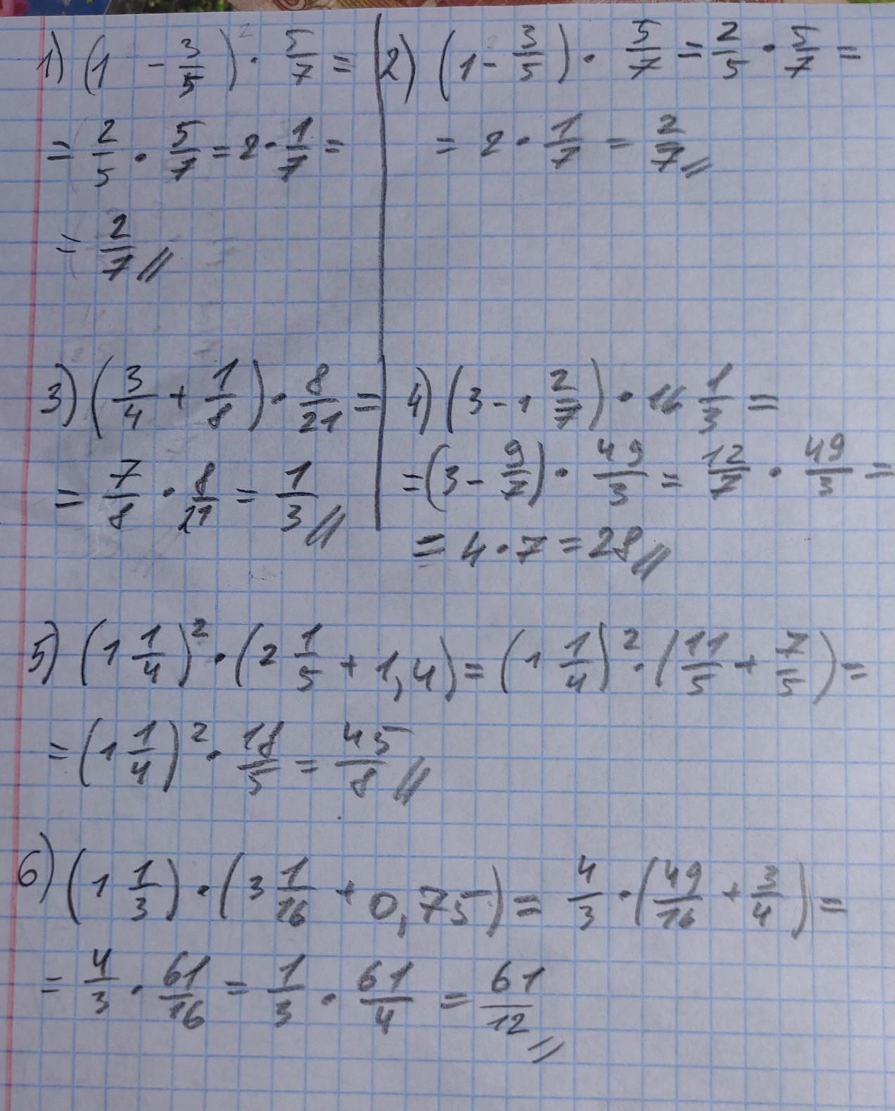
Ответ дал: rozacydypova
1

Пошаговое объяснение:

В них всё написано, смотри внимательнее

Приложения:
Вас заинтересует