• Предмет: Математика
  • Автор: konovalovav395
  • Вопрос задан 7 лет назад

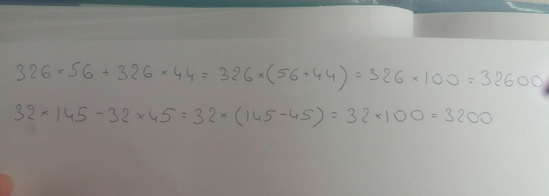
Вычислите удобным способом 326*56+326*44= 32*145-32*45=​


timurka231205: знак какой между 44 и 32
konovalovav395: всм
timurka231205: пздц

Ответы

Ответ дал: KiratorKanek
0

Ответ:

=(32-32)(145*45)=0

Пошаговое объяснение:

Ответ дал: kotiki020813
0

Ответ:

всё на фото............

Приложения:
Вас заинтересует