• Предмет: Химия
  • Автор: Sear17
  • Вопрос задан 7 лет назад

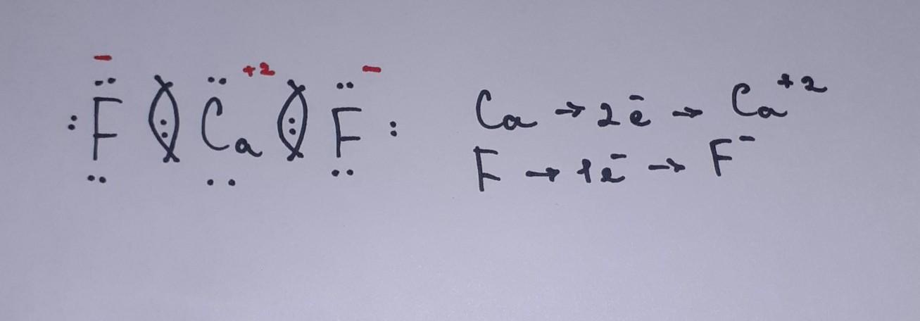
Йонний зв'язок між CaF2
Розписати
Срочно!!!

Ответы

Ответ дал: angelina01010
1

Ответ:

в приложении

____________

Приложения:
Ответ дал: ridmar8957
0
.. ..
:F: Ca :F:
.. ..
Вас заинтересует