• Предмет: Физика
  • Автор: drysha717
  • Вопрос задан 7 лет назад

СРОЧНО ДАЮ 30 БАЛЛОВ!​

Приложения:

Ответы

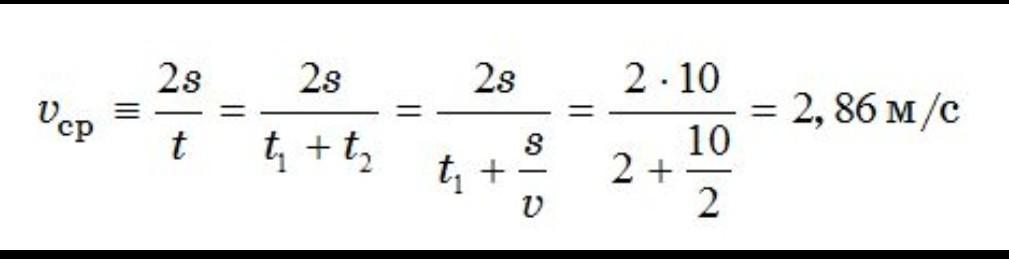
Ответ дал: jdhsbsm
1

......................

Приложения:
Вас заинтересует