• Предмет: Алгебра
  • Автор: SWAGFOX16
  • Вопрос задан 10 лет назад

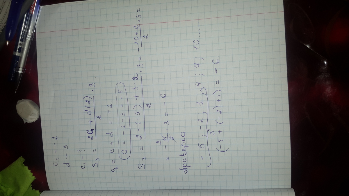
в арифметической прогрессии (Cn) известно, что с2=-2,d=3.Найдите с1 и сумму первых трех членов

Ответы

Ответ дал: prostomama1
0
""""""""""""""""""""""""""""""""""""""""""""""
Приложения:
Ответ дал: prostomama1
0
Незачто
Вас заинтересует