Помогите решить пожалуйста по одной из формул сокращенно но умножения вот эти уравнения:
Задание 24;39
Приложения:
Ответы
Ответ дал:
0
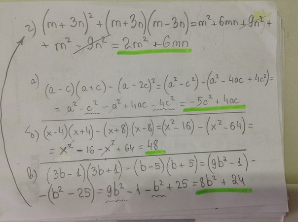
смотрите на фото))
это очень легко))
это очень легко))
Приложения:
Ответ дал:
0
огромное вам спасибо)
Ответ дал:
0
a) (a-c)(a+c)-(a-2c)^2=a^2+ac-ac-c^2-a^2+4c^2=3c^2
б) (x-4)(x+4)-(x+8)(x-8)=x^2+4x-4x-16-x^2+8x-8x+64=48
в) (3b-1)(3b+1)-(b-5)(b+5)=9b^2+3b-3b-1-b^2-5b+5b+25=8b^2+25
г)(m+3n)^2+(m+3n)(m-3n)=m^2+9n^2+m^2-3mn+3mn-9n^2=2m^2
б) (x-4)(x+4)-(x+8)(x-8)=x^2+4x-4x-16-x^2+8x-8x+64=48
в) (3b-1)(3b+1)-(b-5)(b+5)=9b^2+3b-3b-1-b^2-5b+5b+25=8b^2+25
г)(m+3n)^2+(m+3n)(m-3n)=m^2+9n^2+m^2-3mn+3mn-9n^2=2m^2
Приложения:
Вас заинтересует
3 года назад
3 года назад
11 лет назад
11 лет назад
11 лет назад