Допоможіть! дуже потрібно, даю
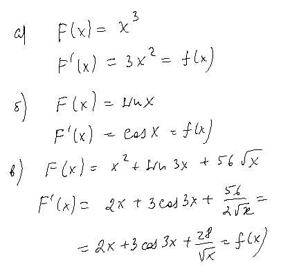
25 балів. Доведіть, що функція y= f(x) є первісною для функції y=f(x) якщо а) f(x) = x^3 ; f(x)= 3x^2; б) f(x)= sinx; f(x)=cosx; в) F(x)= x^2 + sin3x + 56√x; f(x)= 2x + 3cos3x + 28/√x
Ответы
Ответ дал:
2
Ответ:
Потрібно знайти похідну від F(x), вона має дорівнювати f(x)
Объяснение:
Приложения:

chelovekdobroivoli:
Велике дякую !!!
Вас заинтересует
2 года назад
2 года назад
2 года назад
8 лет назад
8 лет назад
9 лет назад