• Предмет: Алгебра
  • Автор: mihailmarynov1234123
  • Вопрос задан 7 лет назад

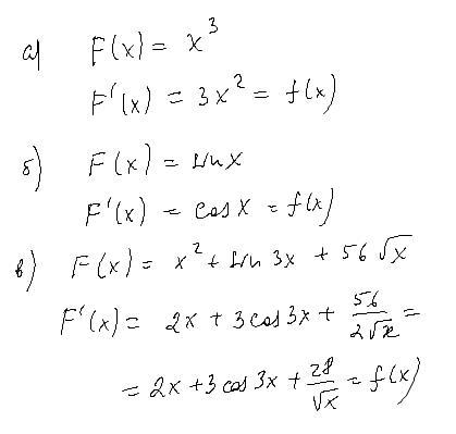
Допоможіть! дуже потрібно, даю 45 балів. Доведіть, що функція y= f(x) є первісною для функції y=f(x) якщо а) f(x) = x^3 ; f(x)= 3x^2; б) f(x)= sinx; f(x)=cosx; в) F(x)= x^2 + sin3x + 56√x; f(x)= 2x + 3cos3x + 28/√x

Ответы

Ответ дал: dashulka22222
1

Ответ знайдіть похідну

Объяснение:

Приложения:

mihailmarynov1234123: Огромное спасибо ❤❤❤
Вас заинтересует