• Предмет: Алгебра
  • Автор: vernerolesa704
  • Вопрос задан 7 лет назад

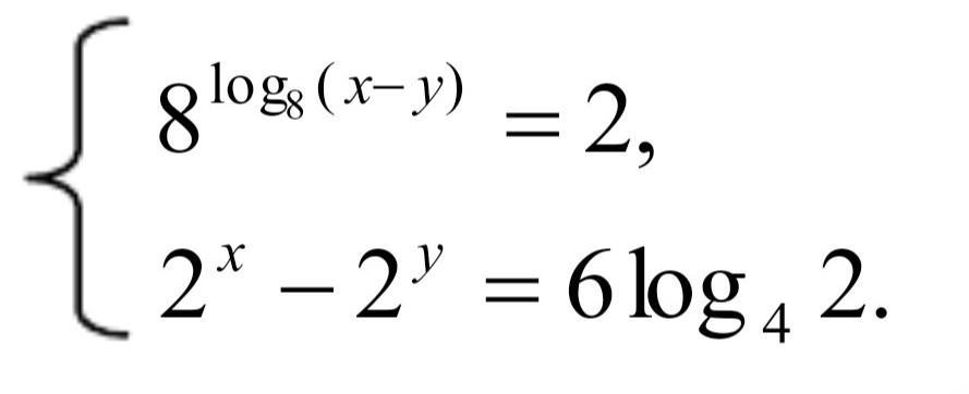
помогите!!!!
Очень срочно!!!! ​

Приложения:

Ответы

Ответ дал: Nina1952
1
Смотри)))))))))))))))))))))))))
Приложения:
Вас заинтересует