• Предмет: Математика
  • Автор: slavaberrr
  • Вопрос задан 7 лет назад

спасите пж!!!!!!!!!!!!!!

Приложения:

Ответы

Ответ дал: WednesAddams
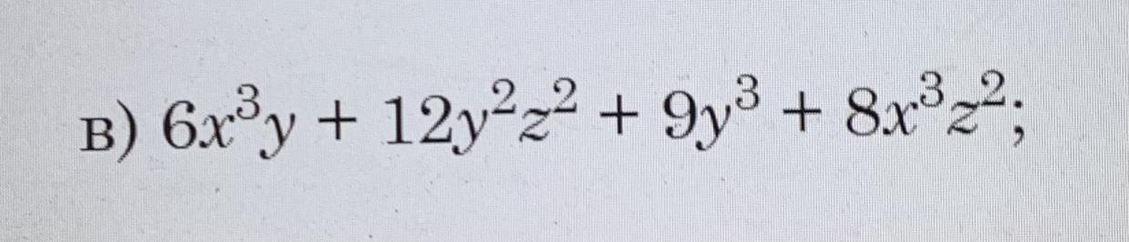
2

\displaystyle 6x^3y+12y^2z^2+9y^3+8x^3z^2=3y(2x^3+3y^2)+4z^2(3y^2+2x^3)=(2x^3+3y^2)(3y+\\ \\ 4z^2)

Вас заинтересует