• Предмет: Алгебра
  • Автор: Mariya825
  • Вопрос задан 7 лет назад

Z1=4+7i

z2=1/6-корень 7i

Ответы

Ответ дал: rom4iktop4ik
0

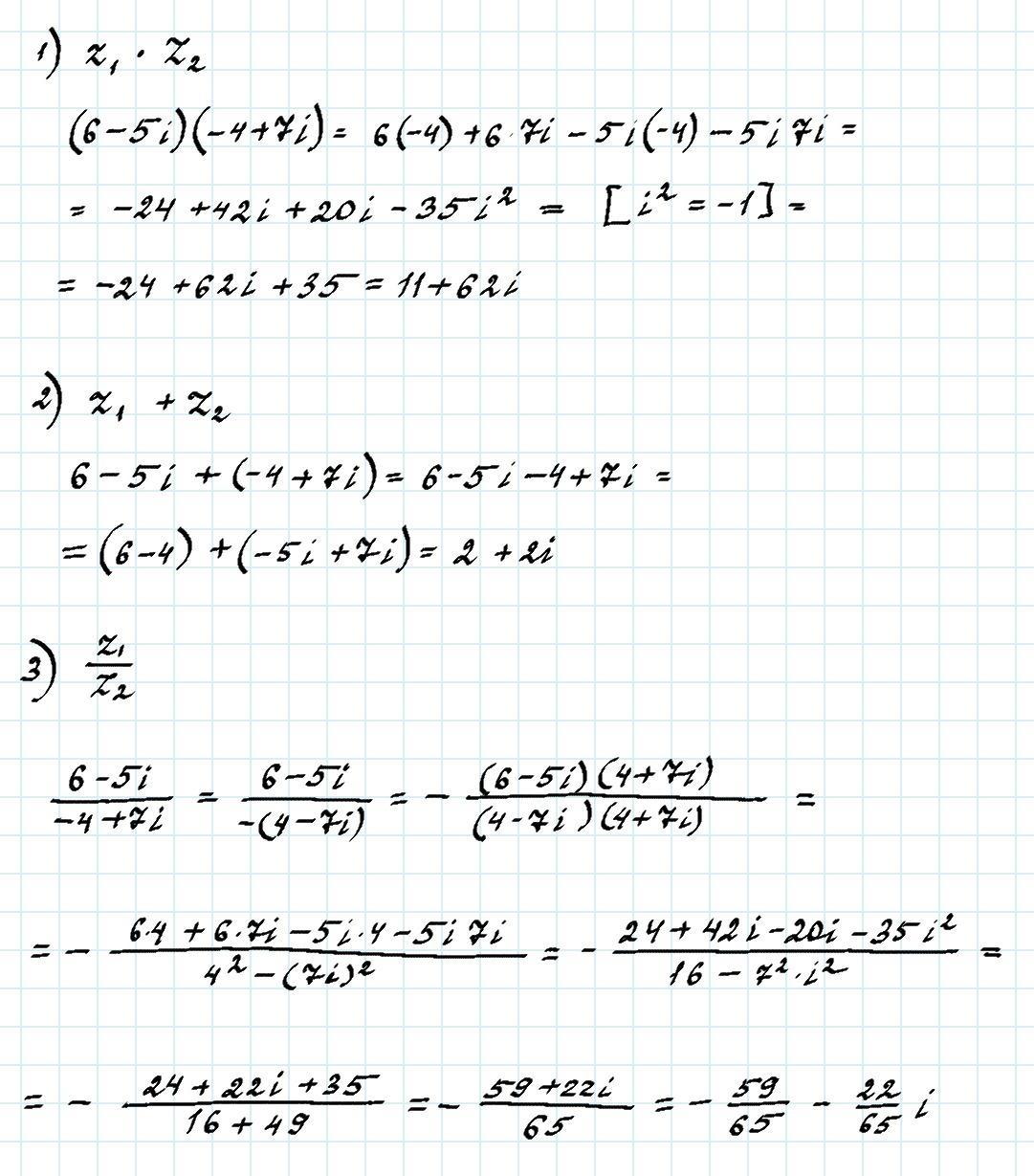
Ответ ниже:

Можно лучшим пж!

Приложения:
Вас заинтересует