• Предмет: Математика
  • Автор: Дарья198
  • Вопрос задан 10 лет назад

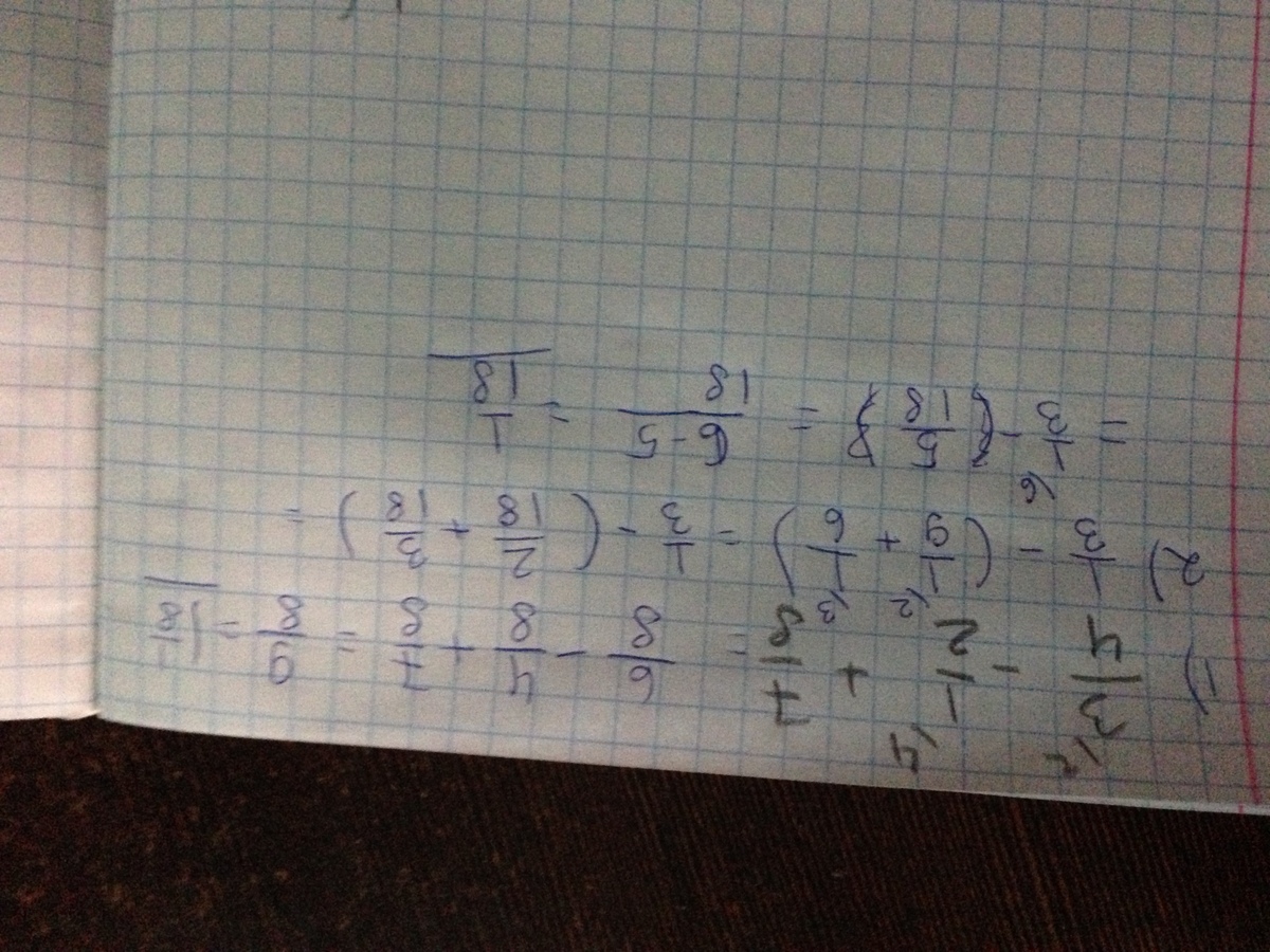
Найдите значение выражений(ЧТОБЫ МОЖНО БЫЛО НАЙТИ ОБЩИЙ ЗНАМЕНАТЕЛЬ):


3/4-1/2+7/8

1/3-(1/9+1/6)

Ответы

Ответ дал: Аноним
0
вот решение, вроде правильно

Приложения:
Вас заинтересует