• Предмет: Алгебра
  • Автор: recessia2
  • Вопрос задан 7 лет назад

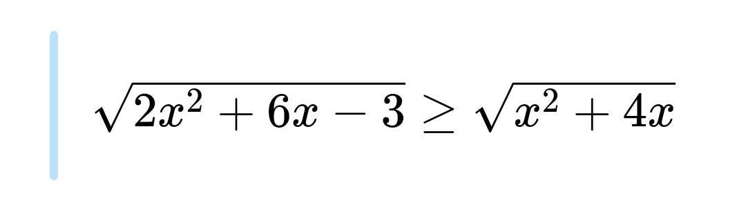
ДАЮ 20 БАЛЛОВ РАЗВЯЖИТЕ НЕРАВЕНСТВО ПОЖАЛУЙСТА С ОБЪЯСНЕНИЕМ​

Приложения:

Ответы

Ответ дал: NNNLLL54
0

Ответ:    x\in (-\infty ;-4\, ]\cup [\ 1\, :+\infty \, )  .

\boxed{\ \sqrt{A}\geq \sqrt{B}\ \ \ \Leftrightarrow \ \ \ \left\{\begin{array}{ccc}A\geq B\\B\geq 0\end{array}\right\ }\\\\\\\\\sqrt{2x^2+6x-3}\geq \sqrt{x^2+4x}\ \ \ \Leftrightarrow \ \ \ \left\{\begin{array}{l}2x^2+6x-3\geq x^2+4x\\x^2+4x\geq 0\end{array}\right

\left\{\begin{array}{l}x^2+2x-3\geq 0\\x\, (x+4)\geq 0\end{array}\right\ \ \left\{\begin{array}{l}(x+3)(x-1)\geq 0\\x\, (x+4)\geq 0\end{array}\right\ \ \left\{\begin{array}{l}x\in (\infty ;-3\, ]\cup [\ 1\, ;+\infty )\\x\in (-\infty ;-4\, ]\cup [\ 0\, :+\infty )\end{array}\right\\\\\\x\in (-\infty ;-4\, ]\cup [\ 1\, :+\infty )

Вас заинтересует