• Предмет: Математика
  • Автор: kamranibrahimli2013
  • Вопрос задан 7 лет назад

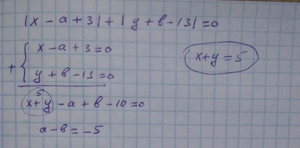
25. Найдите разность а — b, если +y= 5 и |x-a+3+yb — 13 = 0​

Приложения:

Ответы

Ответ дал: kleo59571
1

Ответ:

все на фото хорошо понятно

Приложения:
Вас заинтересует