Даю сто баллов,пожалуйста решите правильно от этого зависит моя главная оценка.Условие:в уравнениях нужно влево решать с буквами например(x) а в право с цифрами без букв.Пожалуйста побыстрее
Приложения:
makarukte:
Первые 2:
1) При x=14, так как -14-9=-5
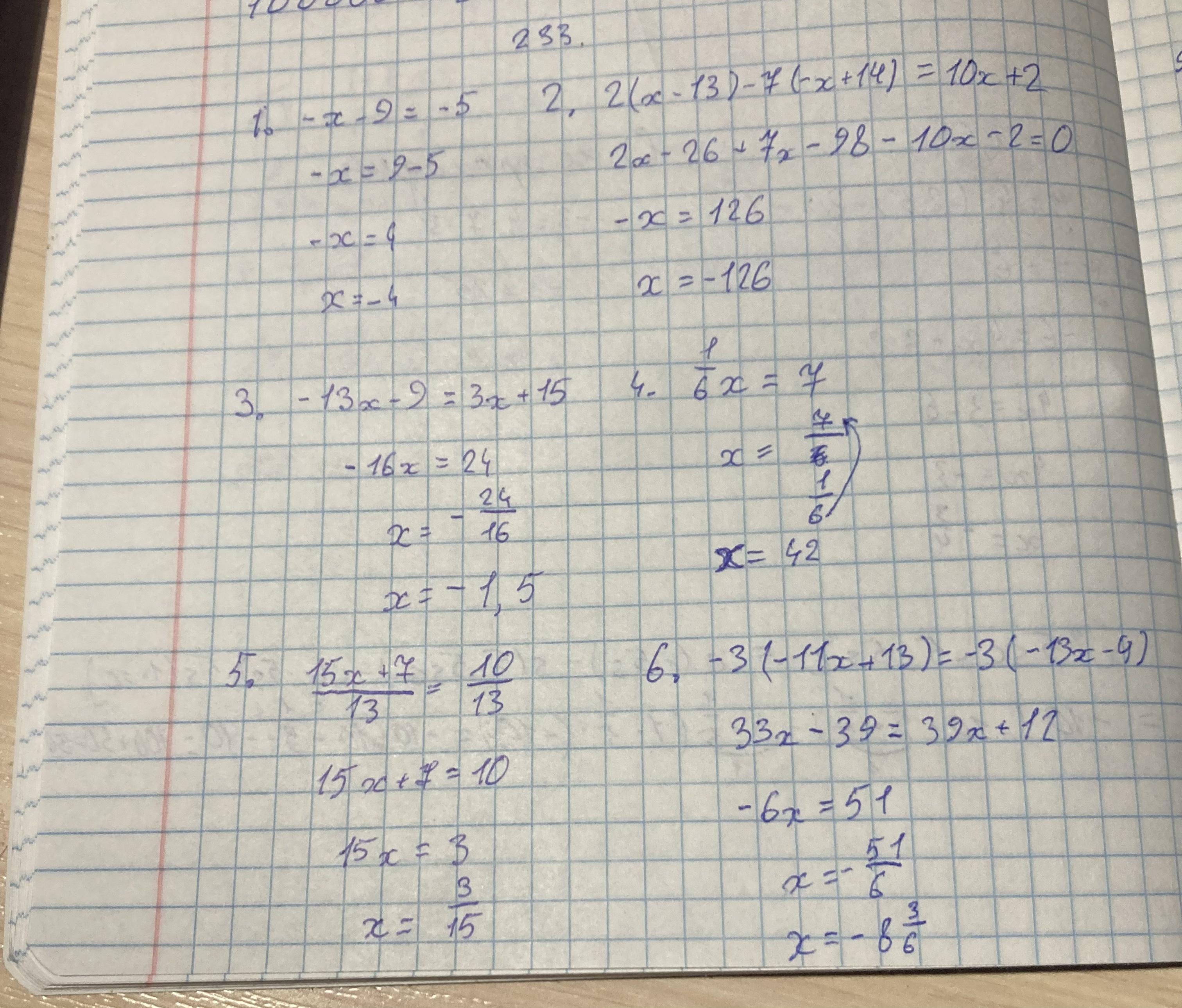
2) 2(x-13)-7(-x+14)=10x+2
2x-26+7x-98=10x+2
2x+7x-10x=26+98+2
-x=126
x=-126
2) 2(x-13)-7(-x+14)=10x+2
2x-26+7x-98=10x+2
2x+7x-10x=26+98+2
-x=126
x=-126
Ответы
Ответ дал:
1
Ответ: смотри в прикрепленных файлах
Объяснение:
Приложения:
Могут быть ошибки
Извини,хотела поставить 5 поставила 1
Ну спасибо
Вас заинтересует
3 года назад
3 года назад
9 лет назад
10 лет назад