• Предмет: Алгебра
  • Автор: reginahudova
  • Вопрос задан 7 лет назад

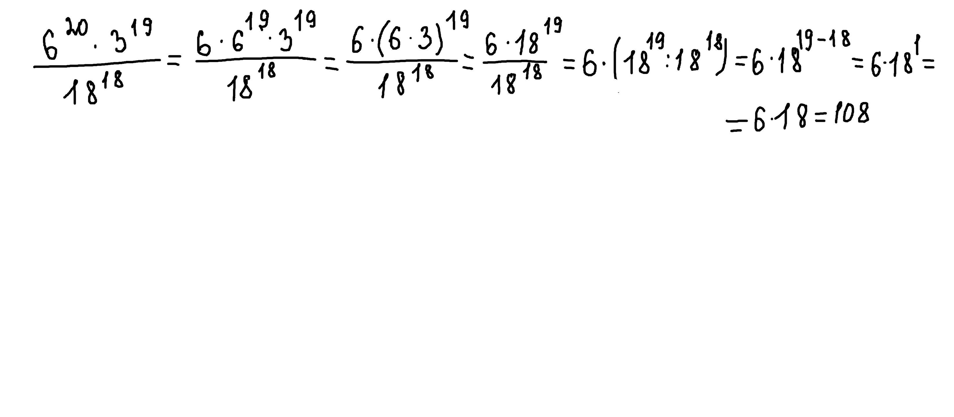
Найдите значение выражения 6 ^20*3^19/18^18 Ответ есть 108, объясните как правильно расписать пример, что бы понять как решить его.

Ответы

Ответ дал: parus77
1

Ответ:

надеюсь понятно расписала.если нет-спрашивай

Объяснение:

Приложения:

reginahudova: Спасибо большое
Вас заинтересует