50баллов с нормальным решением и ответом
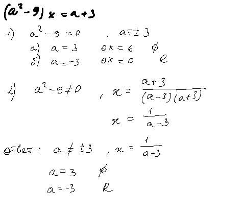
Решите уравнение (а^2-9)x=a+3 Помогите плиз, даю много баллов (^-степень)
P.s. перейдите кому не сложно на этот сервер(здесь есть я и одни начинающий ютубер)
nikitkaIshetParnya:
https://discord.com/channels/907685233128800316/912031139588349992
Ответы
Ответ дал:
1
Ответ:
Пошаговое объяснение:
Приложения:

Вас заинтересует
2 года назад
2 года назад
2 года назад
8 лет назад
8 лет назад
9 лет назад