Ответы
Ответ дал:
2
Ответ:
Объяснение:
табличні
Приложения:

travisnocapscott:
Дякую!
Ответ дал:
1
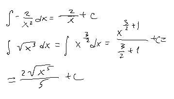
Відповідь: фото
Пояснення:
Приложения:

Вас заинтересует
2 года назад
2 года назад
8 лет назад
8 лет назад