• Предмет: Математика
  • Автор: hayperx360
  • Вопрос задан 7 лет назад

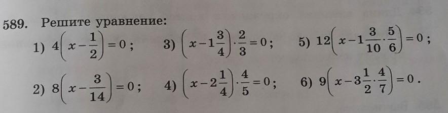
589. Решите уравнение: ​

Приложения:

Ответы

Ответ дал: alisherserik1
0

Ответ:

Пошаговое объяснение:

1) 4х-2=0

4х=2

Х=2/1или0.5

2) 8х-7/12=0

8х=7/12

Х=3/14

3) 2/3х-14/12=0

2/3х=12/14

Х=7/9

4) 4/5х-1=0

4/5х=1

Х=5/4

5) 12х-13=0

12х=13

Х=13/12

6) 9х-36=0

9х=36

Х=4


hayperx360: спасибо, завтра скажу правильно или нет
hayperx360: во втором 3/14, а не 7/12
Вас заинтересует