• Предмет: Алгебра
  • Автор: PolinaLebedeva11
  • Вопрос задан 7 лет назад

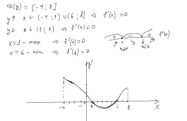
На рисунке изображён график функции y = f(x), определённой на промежутке [–4; 8]. Постройте эскиз графика производной этой функции. Опишите ход построения графика производной.

Приложения:

Ответы

Ответ дал: dashulka22222
1

Ответ:

Объяснение:

думаю, что так

Приложения:
Вас заинтересует