Ответы
Ответ дал:
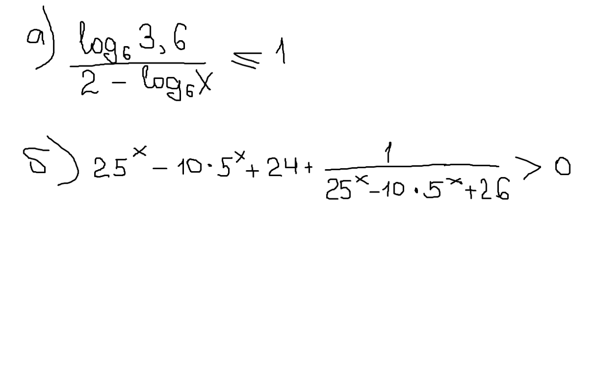
0
2-log6X≠0
log6X≠2
x≠36
than
log 6 3.6 ≤2-log6X
log6 3.6 + log6 X ≤2
log6 3.6·X≤log6 36
выполним операцию потенциирования
3.6X≤36
x≤10
Answer X∈ (- бесконечность ; 10]
log6X≠2
x≠36
than
log 6 3.6 ≤2-log6X
log6 3.6 + log6 X ≤2
log6 3.6·X≤log6 36
выполним операцию потенциирования
3.6X≤36
x≤10
Answer X∈ (- бесконечность ; 10]
Вас заинтересует
3 года назад
8 лет назад
8 лет назад
11 лет назад
11 лет назад
11 лет назад