Помогите пожалуйстааа
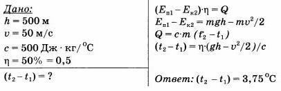
Стальной шар падает без Стальной шар падает без начальной скорости с высоты 500 м и в
момент удара о землю имеет скорость 50 м/с. На сколько градусов
увеличится температура шара, если на его нагревание пошло 50%
потерь механической энергии? ( ~ 16°C)
Ответы
Ответ дал:
1
Ответ:
вот это правилно я думаю
Приложения:

kostyakosty:
спасибо)
Вас заинтересует
2 года назад
2 года назад
2 года назад
8 лет назад