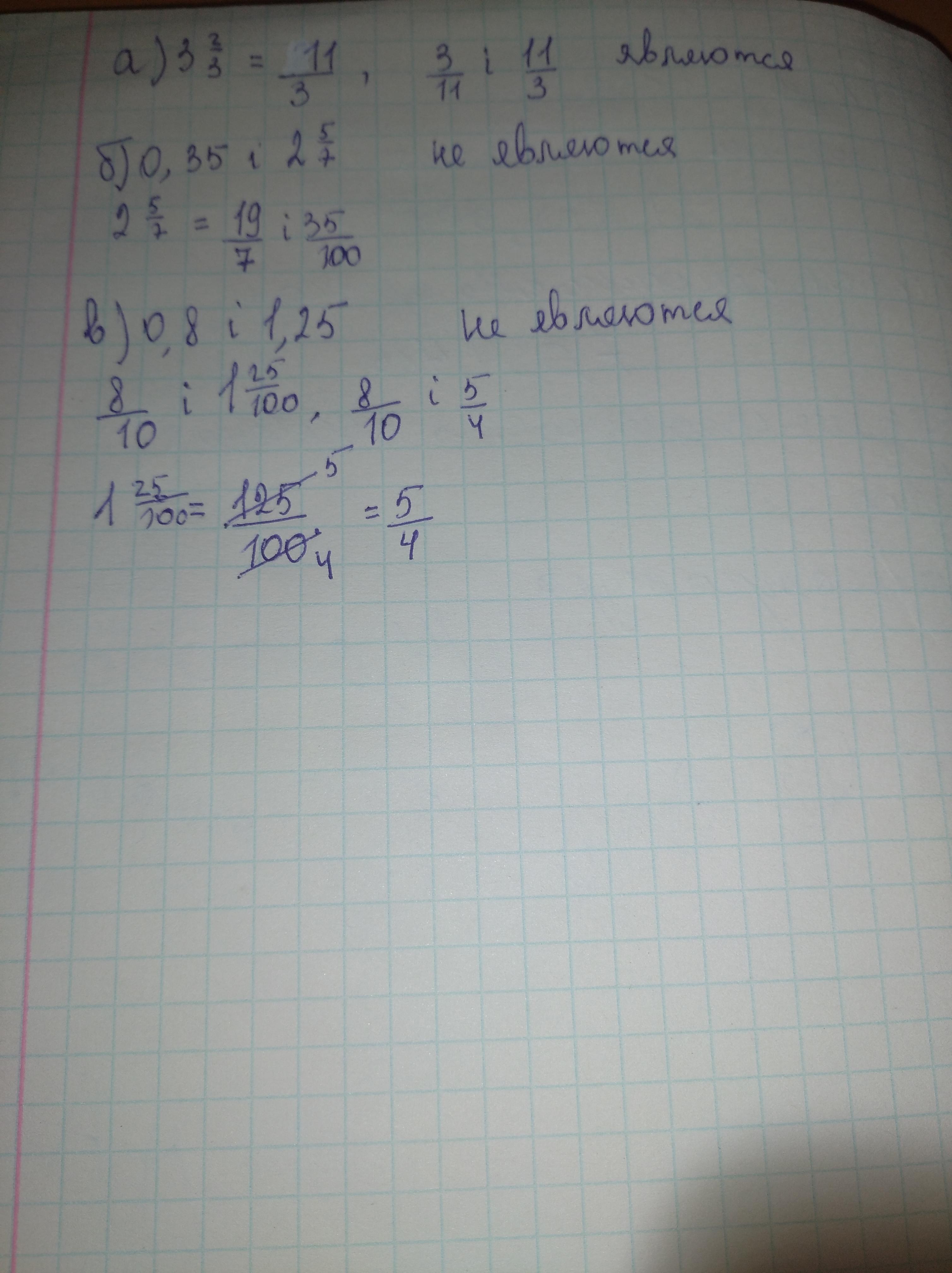
Проверьте, являются ли взаимно обратными числа:
*а) 3 2/3 и 3/11* *б) 0,35 и 2 5/7* *в) 0,8 и 1,25*
Ответы
Ответ дал:
1
Ответ:
Пошаговое объяснение:
Приложения:

Вас заинтересует
2 года назад
2 года назад
2 года назад
2 года назад
8 лет назад
8 лет назад
9 лет назад