• Предмет: Математика
  • Автор: ahamitova185
  • Вопрос задан 7 лет назад

Помогите решить пожалуйста дам 25 баллов ​

Приложения:

Ответы

Ответ дал: nogaevaa
1

Ответ:

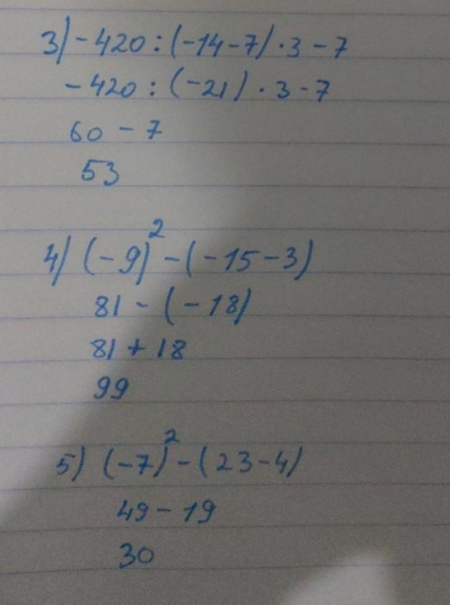
Всё написано на картинке по номерам очерёдность

Приложения:

ahamitova185: а можешь ещё один пример решить пожалуйста
nogaevaa: окей какой
ahamitova185: сейчас напишу
ahamitova185: -250÷(-17+7) ×4-8
nogaevaa: напиши как новый вопрос мне нужны баллы
ahamitova185: окей
nogaevaa: и ответь пожалуйста если не сложно как лучшие ответы
Вас заинтересует