Кто может помочь решить задание 12 из егэ профиль по математике ( фото в закрепе)
Приложения:

zerafr:
вопросов нет?
Ответы
Ответ дал:
1
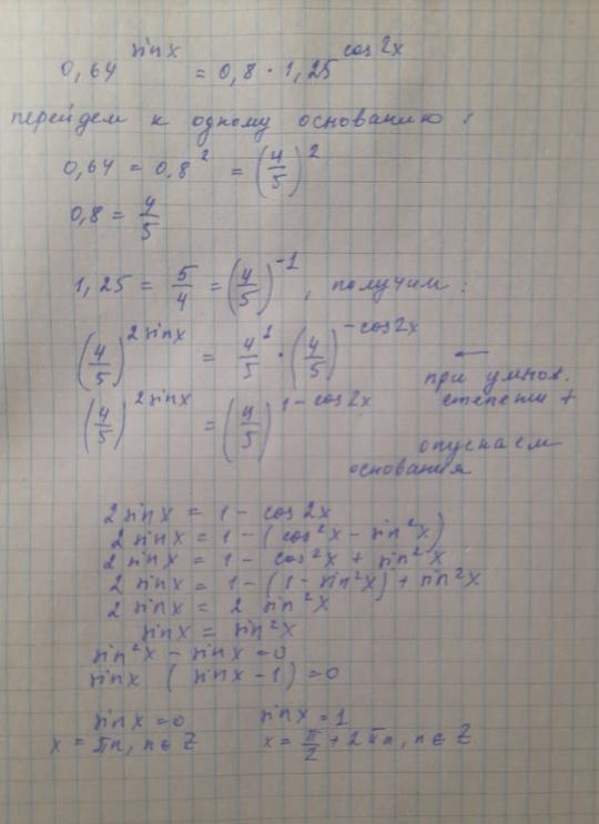
Ответ:
надеюсь на фотке все рассмотрите
Пошаговое объяснение:
Приложения:

Вас заинтересует
2 года назад
2 года назад
2 года назад
8 лет назад
9 лет назад
9 лет назад