• Предмет: Математика
  • Автор: 15242829j29
  • Вопрос задан 7 лет назад

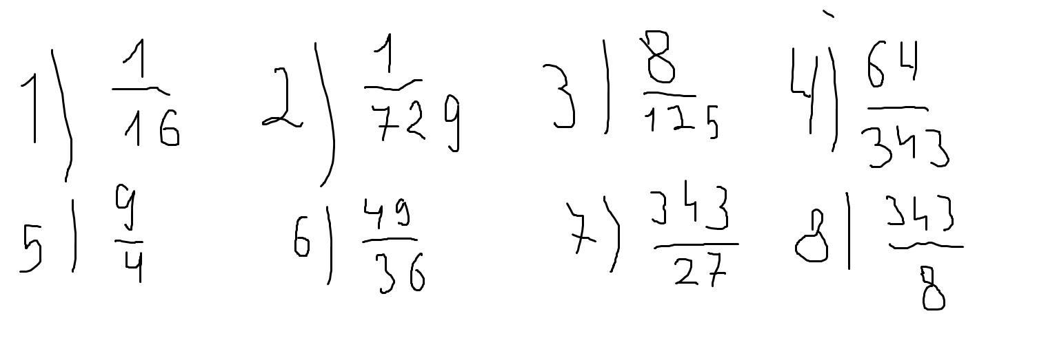
Доброго времени суток, помогите пожалуйста.

Приложения:

Ответы

Ответ дал: esceakk23
1

Ответ:

Пошаговое объяснение:

Приложения:
Вас заинтересует