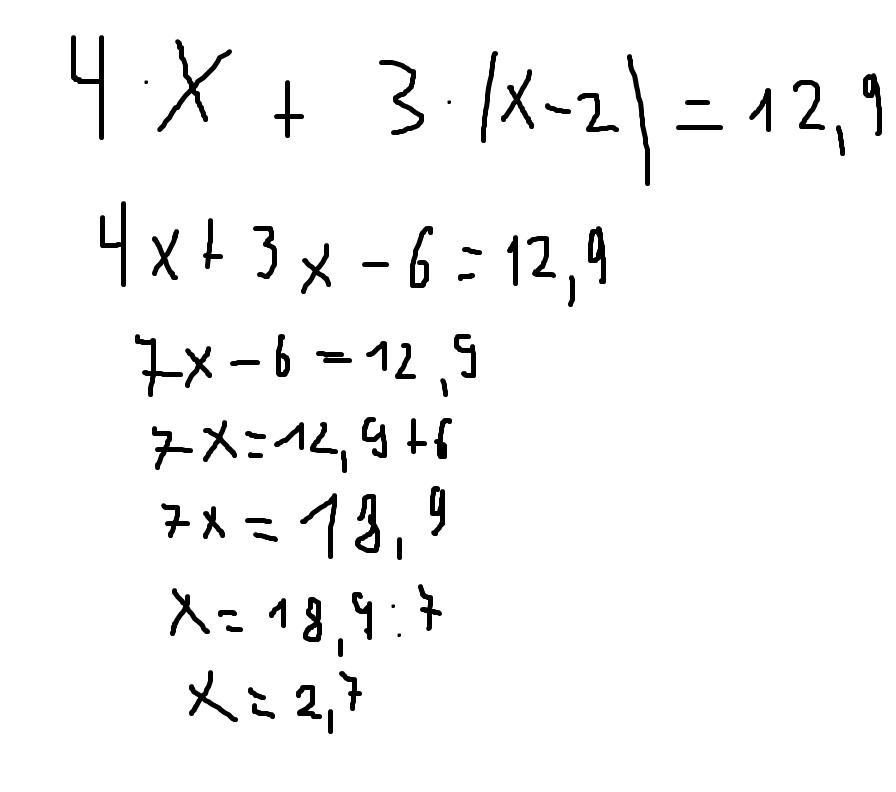
Ученики 7-го класса отправились в поход. Они гуляли 4 часа утром и 3 часа (час) днем. Сколько километров проехали студенты утром, если днем скорость снизилась на 2 км / ч. Какая скорость была утром? Известно, что студенты преодолевали 12,9 км в день.
Ответы
Ответ дал:
0
Ответ:
Пошаговое объяснение:
Приложения:

Вас заинтересует
2 года назад
2 года назад
8 лет назад
8 лет назад
9 лет назад