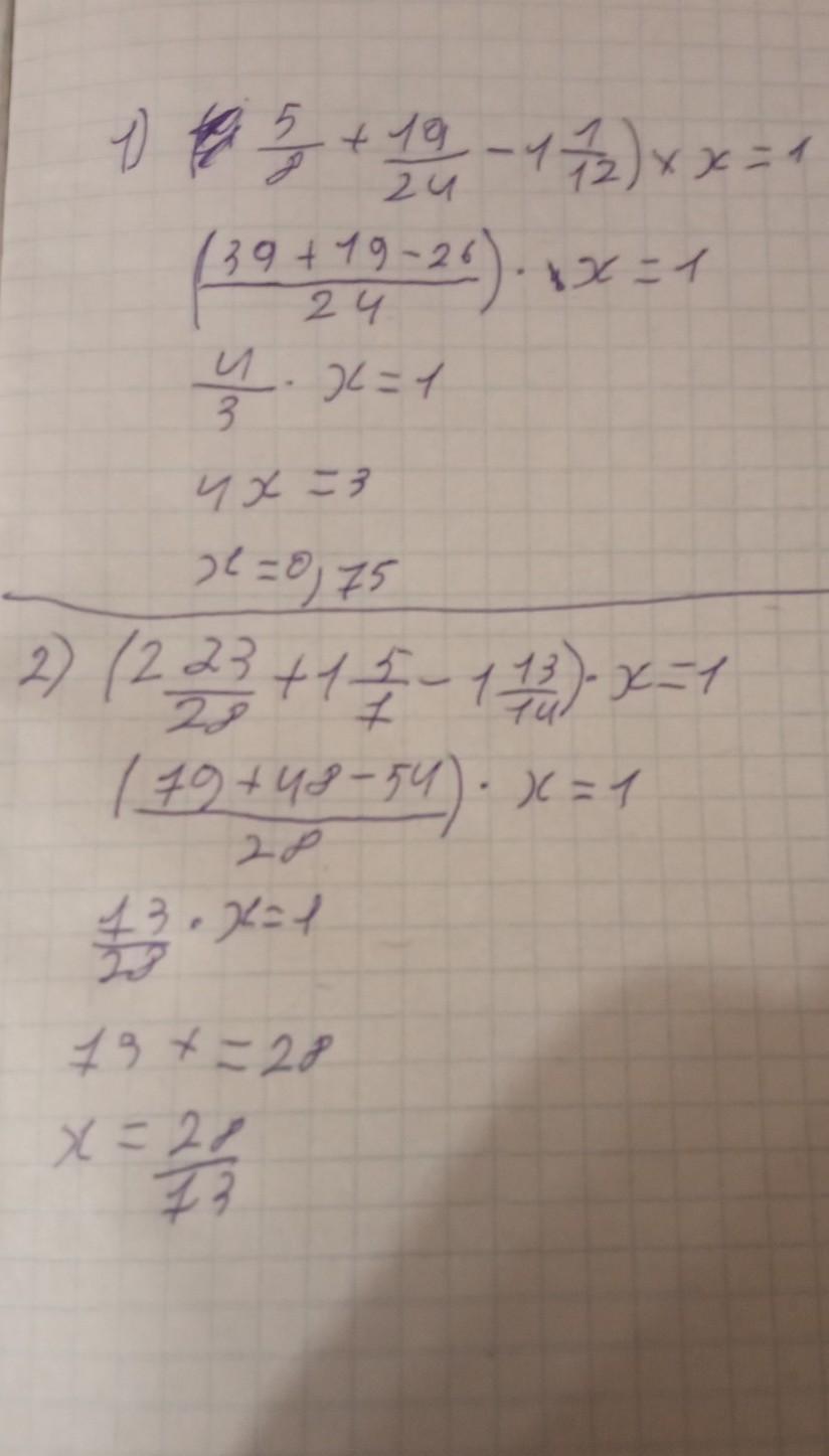
2 11 3) х= І. 15 434. Решите уравнение: 1) (1) 1 19 + 24 • x= 1; 2) (223 +19.-1). 5 +1 28 7 -1 12 13 - х = 1. 14 435 TT
Приложения:

Ответы
Ответ дал:
2
(5/8+19/24-1-1/12)* =1
Приложения:

Вас заинтересует
2 года назад
2 года назад
2 года назад
2 года назад
8 лет назад
8 лет назад
9 лет назад
9 лет назад