(2x−2)(2x+5) и (4x-2)(x+3)(4x−2)(x+3) при каком значении х равны выражения
ОЧЕНЬ СРОЧНО 6 МИНУТ 28 БАЛЛОВ
Аноним:
поздно киньте репорт шоб удалили
Ответы
Ответ дал:
3
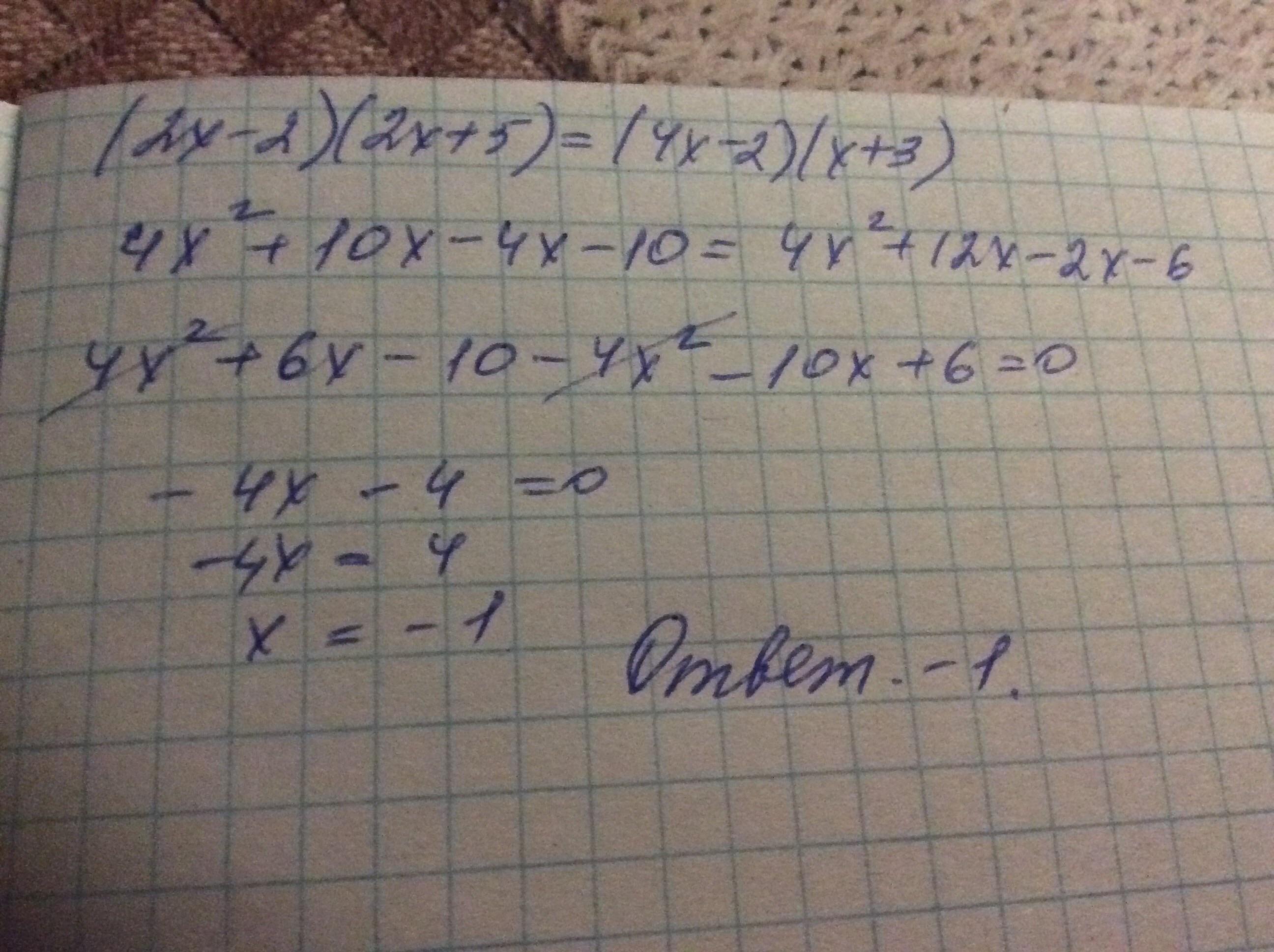
Ответ: -1
Объяснение:
Смотри вложение
Приложения:

Вас заинтересует
2 года назад
2 года назад
2 года назад
8 лет назад
8 лет назад
9 лет назад
9 лет назад