• Предмет: Математика
  • Автор: polanika8
  • Вопрос задан 7 лет назад

вот, плиз, плиз, мне срочно нужно((​

Приложения:

Ответы

Ответ дал: WednesAddams
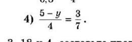
1

\displaystyle \frac{5-y}{4}=\frac{3}{7}\\\\ 7(5-y)=12\\35-7y=12\\-7y=12-35\\-7y=-23\\\\ y= \frac{23}{7}=3\frac{2}{7}


polanika8: спасибо большое<3
Вас заинтересует