• Предмет: Математика
  • Автор: elisey3736
  • Вопрос задан 7 лет назад

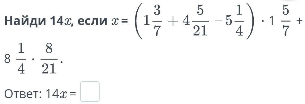
Найди 14x, если x = (1 3/7+4 5/21-5 1/4)*1 5/7+8 1/4*8/21​

Приложения:

Ответы

Ответ дал: markpsimba
1

Ответ:

14x=54

Пошаговое объяснение:

я сам проверил в онлайн мектеп

Вас заинтересует