Ответы
Ответ дал:
1
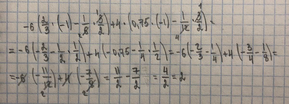
ответ будет равен двум)
Приложения:

olesyavoronina2009:
спасибо огромное :)
Вас заинтересует
2 года назад
2 года назад
2 года назад
2 года назад
9 лет назад