• Предмет: Алгебра
  • Автор: alexalesenko
  • Вопрос задан 7 лет назад

Решите срочно пожалуйста

Приложения:

Ответы

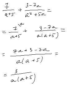
Ответ дал: nastiasavinova1235
1

если помогла, сделай ответ лучшим, пожалуйста

Приложения:
Ответ дал: dashulka22222
1

Ответ:

Объяснение:

общий

Приложения:
Вас заинтересует