• Предмет: Алгебра
  • Автор: alexalesenko
  • Вопрос задан 7 лет назад

Помогите пожалуйста
ОЧень срочно

Приложения:

Ответы

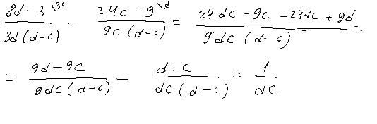
Ответ дал: dashulka22222
1

Ответ:

Объяснение:

общий знаменатель

Приложения:
Вас заинтересует