Найти производные функций.
Приложения:

dashulka22222:
логарифмическую производную можно использовать?
Ответы
Ответ дал:
1
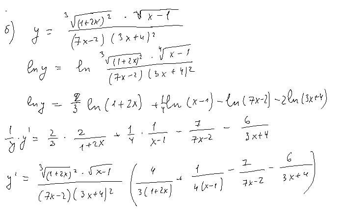
Ответ:
Пошаговое объяснение:
Приложения:



Вас заинтересует
2 года назад
2 года назад
2 года назад
2 года назад
8 лет назад
9 лет назад
9 лет назад