• Предмет: Алгебра
  • Автор: travisnocapscott
  • Вопрос задан 7 лет назад

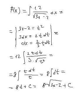
Знайти первісну F(x) від:
f(x)=
 \frac{12}{ \sqrt{3x - 2} }

Будь ласка детально поясніть розв'язок​

Ответы

Ответ дал: dashulka22222
1

Ответ:

Объяснение:

замена переменной

Приложения:
Вас заинтересует