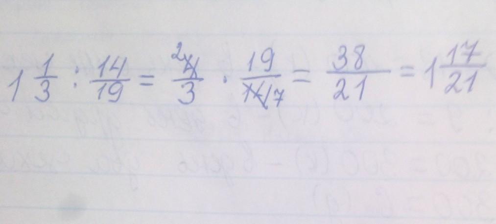
1 1\3:14\19 помагите фоткой пожалуйста
Elena3982:
Там 1 целая 1/3?
Ответы
Ответ дал:
3
Пошаговое объяснение:
Вот ответ...............
Приложения:

Вас заинтересует
2 года назад
2 года назад
2 года назад
8 лет назад
8 лет назад
9 лет назад