• Предмет: Математика
  • Автор: kulakova121007
  • Вопрос задан 7 лет назад

помогите пожалуйста очень срочно!!!!!!!!!!​

Приложения:

Ответы

Ответ дал: larisaserova53
0

Ответ:

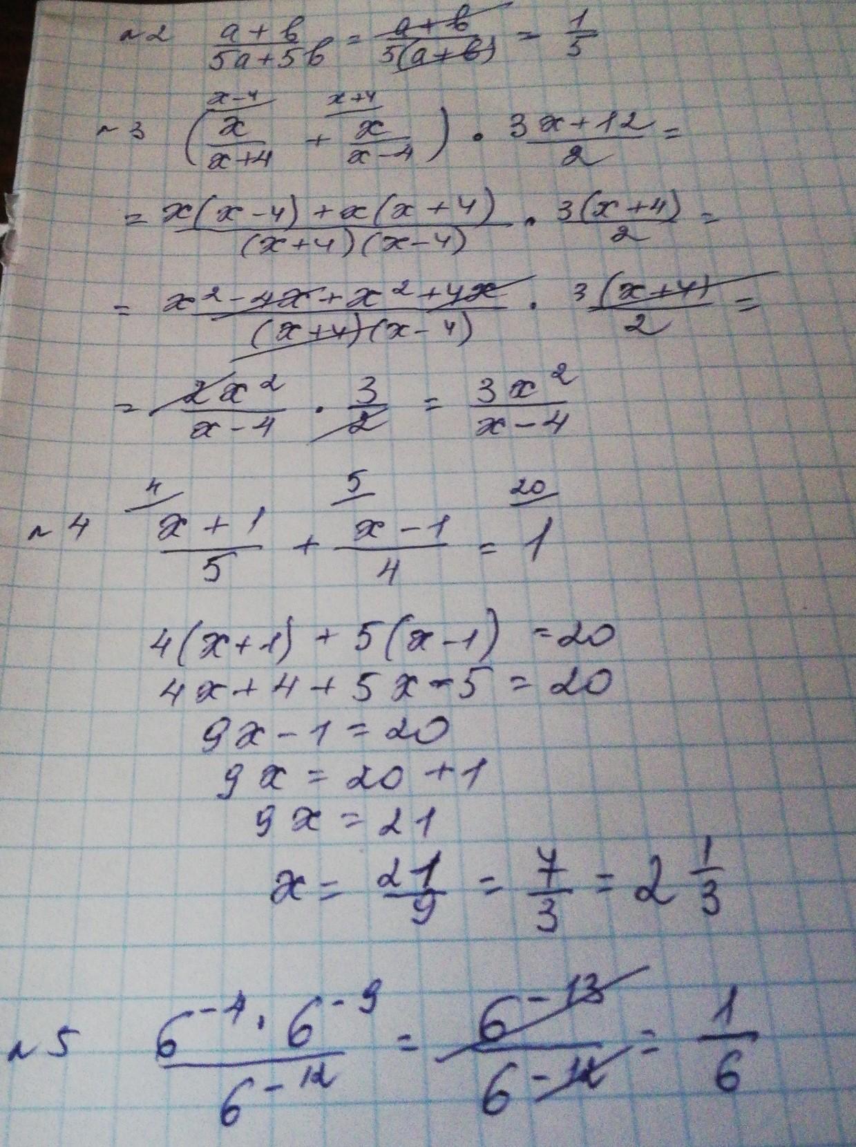
Смотри решение на фото..

Приложения:
Ответ дал: ychenuk
0

Пошаговое объяснение:

смотри ответ на фото...

Приложения:
Вас заинтересует