СРОЧНО!!!! ДАЮ 100 БАЛЛОВ!!!!!!Решите уравнения:
а)

б)

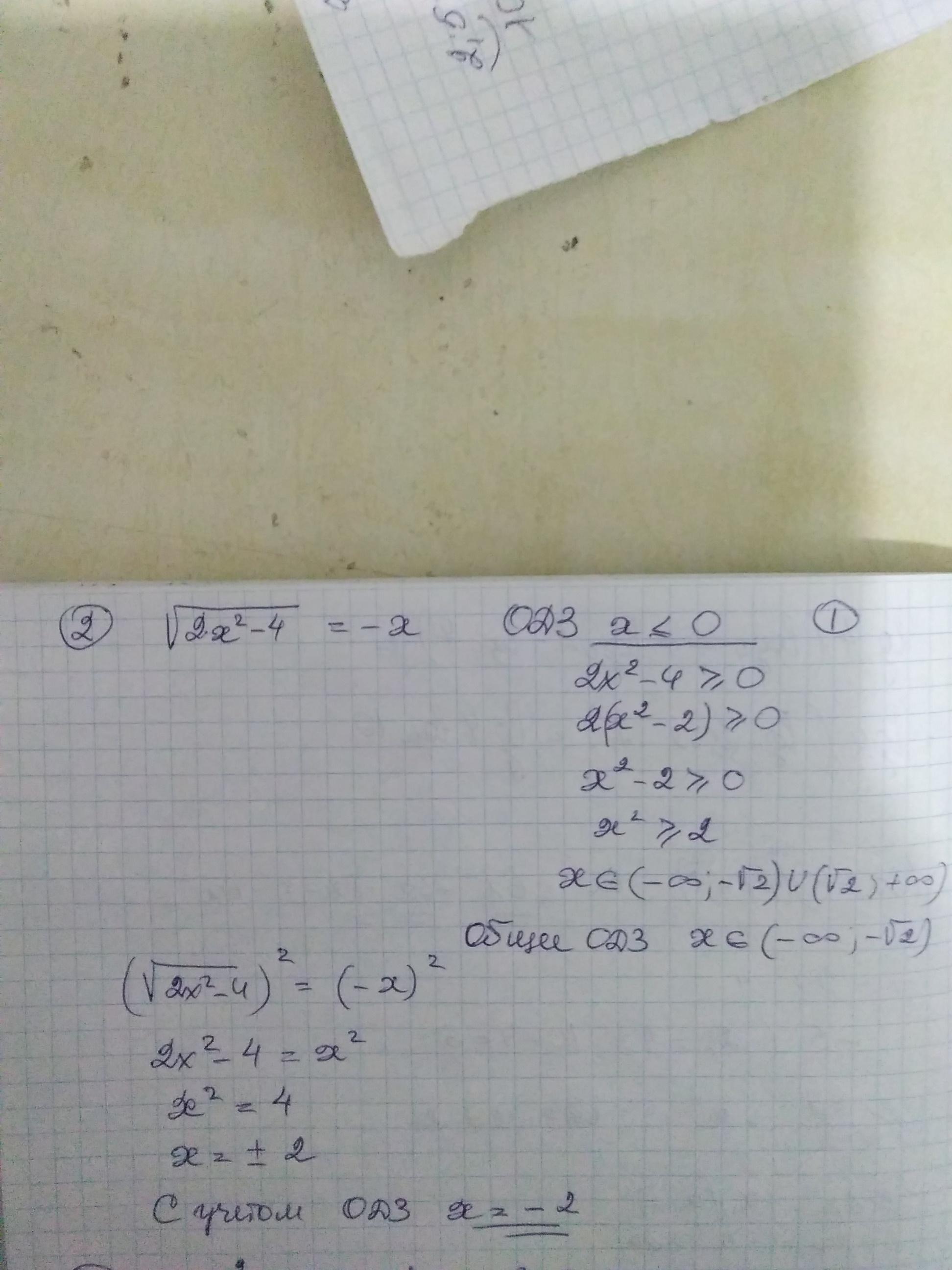
2)найдите все корни иррационального уравнения:

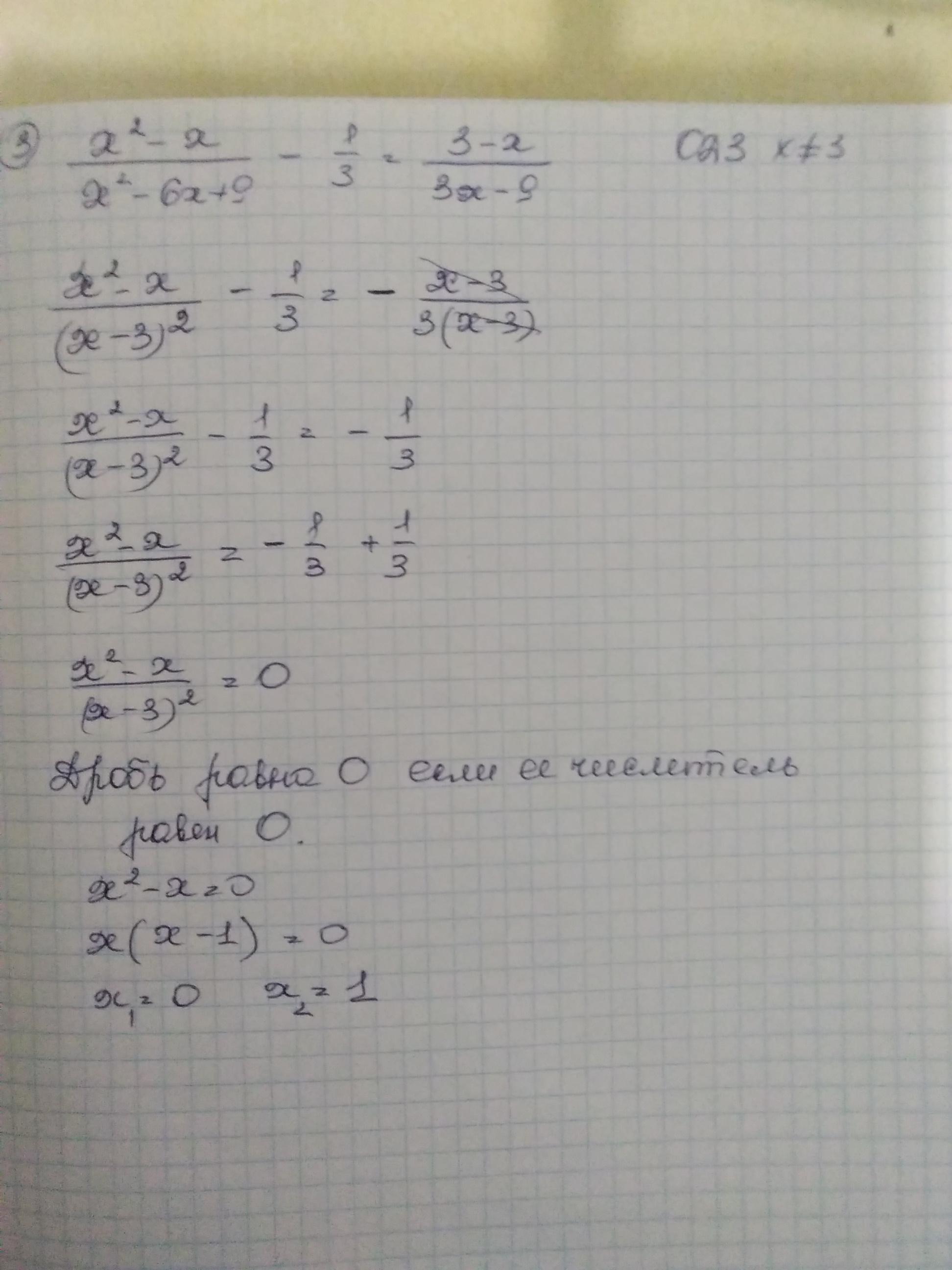
3) решите дробно рациональное уравнение:

Ответы
Ответ дал:
3
Смотри...........................
Приложения:
kima230230:
спаибо
а 3?
спаси тебя господи
читё
тупой
овралалвлвла
хахаххахахахахазвхввххазаза
Вас заинтересует
2 года назад
3 года назад
3 года назад
8 лет назад