• Предмет: Физика
  • Автор: pasha3652665
  • Вопрос задан 7 лет назад

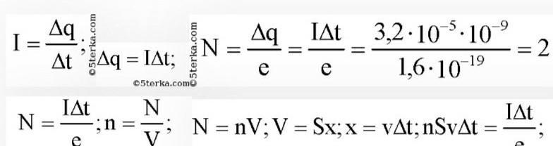
За какое время заряд 300Kл протекает через проводник при силе тока 0,5А? Определите количество электронов, прошедших через сечение проводника за это время, запишите это число в стандартном виде.​

Ответы

Ответ дал: kirillostrovskij4
1

Ответ:

вот держи надеюсь помог

Приложения:
Вас заинтересует